Hőszigetelés nyári hőség ellen! Mi az a fáziseltolódás?
Gyorsmenü:
- Fáziseltolódás fogalma
- Miért nem elég a fehér EPS a nyári kánikulában
- Homlokzati hőszigetelés rendszerszemlélet. Hogyan vásároljunk?
- Vásárlói tudatosság. Ne csak árat, értéket válasszon!
Miért nem elég a vastag hőszigetelés? A fáziseltolódás, mint is jelent ez?
Amikor homlokzati hőszigetelés kerül szóba, hajlamosak vagyunk csak a téli fűtésszámla csökkentésére koncentrálni, miközben a modern épületfizika egyik legfontosabb fogalma, a fáziseltolódás méltatlanul háttérbe szorul. Ez az érték határozza meg, hogy a déli tűző napsütés perzselő energiája hány óra alatt jut át a falszerkezeten, és mikor kezdi el sugározni a hőt a hálószobánkban.
A fáziseltolódás fogalma: Amikor az idő a legjobb szigetelés!
A fáziseltolódás nem más, mint egy időkésleltetés a külső és a belső felületi hőmérsékleti maximumok között. Képzeljük el, hogy a nap legforróbb időpontjában, délután két órakor a homlokzatunkat 60-70 fokos hőterhelés éri. Egy rosszul megválasztott szigetelőanyag esetén ez a hőhullám már kora este eléri a belső vakolatot, pont akkor, amikor pihenni térnénk. A célunk az, hogy ez a fáziseltolódási idő legalább 10-12 óra legyen. Ha ezt elérjük, a nappali forróság csak hajnali kettőkor érkezne meg a belső térbe, amikor a kinti levegő már lehűlt annyira, hogy egy egyszerű szellőztetéssel semlegesíthessük azt. Ez a dinamikus hővédelem az, ami megkülönbözteti a középszerű felújítást a valódi mérnöki precizitástól.
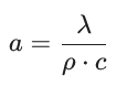
Ahhoz, hogy megértsük, miért viselkednek másképp az anyagok, ismernünk kell a hődiffúziós tényezőt (a), amely a hővezetési tényező (λ), a fajhő (c) és a sűrűség (ρ) összefüggéséből adódik:

Minél kisebb ez az érték, annál lassabban halad át a hő az anyagon. Itt dől el a verseny a könnyű és a nehéz hőszigetelő anyagok között, és itt válik érthetővé, miért nem minden a vastagság.
Miért nem elég a fehér EPS a nyári kánikulában?
A hazai piacon legnépszerűbb expandált polisztirol (EPS) kiválóan szigetel télen, mivel rendkívül alacsony a hővezetési tényezője. Azonban van egy gyenge pontja: nincs tömege. A nyári hővédelemhez hőtároló tömegre van szükség, ami elnyeli és raktározza az energiát, mielőtt továbbengedné. A kőzetgyapot hőszigetelés nyári meleg ellen azért sokkal hatékonyabb, mert sűrűsége többszöröse a műanyag habokénak. Míg egy köbméter EPS mindössze 15-20 kilogramm, addig a vakolható kőzetgyapot táblák súlya elérheti a 100-140 kilogrammot is. Ez a különbség drasztikusan megnöveli a fal tehetetlenségét. A természetes alapú szigetelések, mint a farostlemez vagy a cellulóz, még ennél is jobb fajhő-kapacitással rendelkeznek, így ezek az anyagok képesek a legmagasabb komfortérzetet biztosítani a tetőterekben és a könnyűszerkezetes házaknál.
A rendszerszemlélet fontossága a homlokzati hőszigetelés vásárlásakor!
A fáziseltolódás maximalizálása nem ér véget a szigetelőtáblák kiválasztásánál. A teljes hőszigetelő rendszer együttesen dolgozik a lakók kényelméért. A sötét színű nemesvakolatok például mágnesként vonzzák a hőt, ami még a legjobb kőzetgyapotot is extrém terhelésnek teszi ki. A modern, reflexiós pigmenteket tartalmazó vékonyvakolatok pl: Baumit PuraTop homlokzati vakolat 1,5mm képesek visszaverni az infravörös sugárzás jelentős részét, így csökkentve a felületi hőmérsékletet. Emellett nem feledkezhetünk meg a nyílászárók és az árnyékolástechnika szerepéről sem, de a falazat az a bástya, amely a nap 24 órájában passzív védelmet nyújt. Egy jól megtervezett, nehezebb szigetelőanyaggal kombinált rétegrenddel a klímahasználat akár 70-80%-kal is csökkenthető, ami a jelenlegi energiaárak mellett pár éven belül megtérülő beruházássá teszi a minőségibb anyagok választását.
Vásárlói tudatosság. Ne csak árat, hanem értéket válasszon!
A homlokzati hőszigetelés árak és mennyibe kerül a kivitelezés költsége? Ne elégedjen meg annyival, hogy „10 vagy 15 cm szigetelés? Milyen vastag legyen?”. A legolcsóbb megoldás gyakran a legdrágábbá válik, amikor a nyári hónapokban a klíma zúgása mellett is izzadva ébred a saját otthonában. A kőzetgyapot rendszerek bár magasabb induló költséggel járnak, a valódi komfort, a zajszigetelés és a tűzbiztonság olyan plusz értékek, amelyek évtizedekig szolgálják az Ön és családja kényelmét. Alakítson ki olyan otthont, amely nemcsak a hideg, de a perzselő hőség ellen is valódi védelmet nyújt.